Основные дизайнерские решения светильников: материал форма и стиль
Для устройства освещения в жилых, производственных, общественных помещениях, в рабочих кабинетах и офисах могут использоваться различные типы светильников.
Подвесные светильники, в том числе люстры
Осветительные приборы этого типа должны гармонично сочетаться с интерьером, поэтому их выбирают по размерам помещения. Принято использовать люстры:
- для освещения прихожих;
- для больших залов;
- для детских комнат;
- для столовых и кухонь.
Светильники с хрустальными подвесками
Такие светильники уместны в больших залах с интерьером в классическом стиле. Хрустальные подвески отражают свет в разных направлениях, что создает эффект присутствия солнца.
Для оформления интерьеров в стилях хай-тек и неоклассицизм могут использоваться светильники с хрусталем, снабженные функцией дистанционного управления и изменения цветовой гаммы. Недостатком хрустальных подвесок является сложность поддержания их в чистом виде: любая пыль становится очень заметной на стекле
Люстра с хрустальными подвесками может использоваться в современном интерьере
Светодиодные приборы
Осветительные приборы с LED-источниками могут отличаться уменьшенными плафонами. Это качественно меняет дизайн светильников, а также используется для устройства точечного освещения. С их помощью можно выгодно подчеркнуть элементы декора.
Светодиодные ленты устанавливают по периметру помещения – вдоль потолочного плинтуса или у пола. Таким способом можно визуально увеличить комнату.
Светодиодные приборы в качестве точечных светильников могут быть изюминкой интерьера
Галогенные светильники
С их помощью достигается равномерное рассеивание света, их применяют для освещения какой-либо зоны. Лучи от источников света можно направлять в любую точку помещения, меняя угол наклона в пределах 8 – 60 градусов.
Галогенные светильники хорошо подходят для низких потолков, для подсветки ступеней, их можно устанавливать на стенах и мебели.
В заключение – пример того, как выполняется расчет светильников (видео с комментариями специалиста)
Расчет освещенности
Любое промышленное предприятие представляет собой совокупность помещений различного назначения: производственные цеха, вспомогательные помещения, кабинеты ИТР, склады и пр. Освещенность каждого объекта регламентируется нормами СНиП и СанПиН. Они являются обязательными к исполнению и учитываются еще на стадии проектирования.
Поэтому, если вы выбираете светильники на новый объект – просто руководствуйтесь характеристиками, указанными в проекте.
При замене освещения на уже введенном в эксплуатацию объекте есть несколько вариантов.
1хLED = 3хДРЛ
1хLED=2хМГЛ
1хLED=2,5хДНаТ,
где LED – светодиодный светильник, ДРЛ – ртутная лампа, МГЛ – металлогалогенная лампа, ДНаТ – дуговая натриевая трубчатая лампа.
2. Метод коэффициента использования.
Световой поток для каждого светильника определяется по формуле
,
где E – минимальная освещенность, лк
k – коэффициент запаса, учитывает уменьшение светоотдачи в процессе эксплуатации. Для светодиодных ламп =1,1.
S – площадь освещаемого пространства
z – коэффициент минимальной освещенности. Характеризует неравномерность освещения, определяется отношением расстояния между светильниками к расчетной высоте (L/h). Для светодиодных ламп рекомендуется принимать z=1,1.
N – планируемое количество светильников
ŋ – коэффициент использования. Зависит от индекса помещения i, определяемого по формуле
где А, В – длина и ширина помещения
h – расстояние от рабочей плоскости до светильника.
Зная индекс помещения и коэффициент отражения пола/стен/потолка, по таблице определяем ŋ
потолок | 0,8 | 0,7 | 0,7 | 0,5 | 0,5 | 0,5 | |
стены | 0,5 | 0,5 | 0,3 | 0,5 | 0,3 | 0,3 | |
пол | 0,3 | 0,3 | 0,3 | 0,3 | 0,3 | 0,1 | |
Индекс помещения | 0,60 | 0,33 | 0,32 | 0,25 | 0,3 | 0,24 | 0,24 |
0,80 | 0,41 | 0,39 | 0,32 | 0,36 | 0,3 | 0,29 | |
1,00 | 0,47 | 0,45 | 0,38 | 0,42 | 0,35 | 0,34 | |
1,25 | 0,53 | 0,51 | 0,44 | 0,47 | 0,41 | 0,39 | |
1,50 | 0,58 | 0,55 | 0,48 | 0,51 | 0,45 | 0,43 | |
2,00 | 0,65 | 0,62 | 0,56 | 0,57 | 0,52 | 0,49 | |
2,50 | 0,7 | 0,67 | 0,61 | 0,61 | 0,56 | 0,53 | |
3,00 | 0,64 | 0,71 | 0,65 | 0,64 | 0,6 | 0,56 | |
4,00 | 0,79 | 0,75 | 0,7 | 0,68 | 0,64 | 0,6 | |
5,00 | 0,83 | 0,78 | 0,74 | 0,71 | 0,68 | 0,62 |
Табл. 1 – Коэффициент использования для светодиодных светильников с углом раскрытия светового потока 120⁰
Материалы с высокой отражаемостью | 0,8 |
Белая поверхность | 0,7 |
Светлая поверхность | 0,5 |
Серая поверхность | 0,3 |
Темная поверхность | 0,1 |
Табл.2 – Коэффициент отражения света в зависимости от цвета поверхности
После получения значения Ф подбираем светодиодный светильник с аналогичным световым потоком. Допускается отклонение -10%…+20%.
Пример.
Подберем светильники для ремонтного цеха, имеющего размеры 36х18м и высоту 10м. Стены – светло-серые, пол бетонный, потолок окрашен белой краской. Намечено 15 световых точек.
Е = 200 лк (СНиП 23-05-2010), k=1,1
S=36х18=648м2
z=1,1, N=15
Светильник DS-StreetA160P имеет световой поток 20800лм, что соответствует необходимому значению.
3.Расчет электрического освещения точечным методом для ламп накаливания
Располагаем
светильники на плане.

Задаем количество рядов:
n=72
светильника
n1=3
ряда
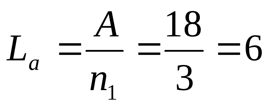
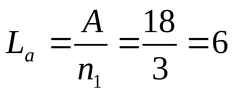
Количество светильников в ряду
n2=
n/ n1=72/3=24
светильника
Определяем расстояние между рядами:
м
Расстояние
от стен:
м
Определяем
расстояние между светильниками в ряду:
м
Расстояние
от стен:
м
Выбираем
контрольные точки.
Расчетные
данные заносим в таблицу
Таблица
2. Технические данные расчетов

м
м
м
Определяем
освещенность в точке «а»
;
где
Фл.ст–
световой поток стандартной лампы, лм
μ-
1,02-1,15 – коэффициент, учитывающий
освещенность у неучтенных светильников
–
суммарная «е»- относительная освещенность
1000-
световой поток условной лампы
К3–
коэффициент запаса
лк


Следовательно
выбираем светильник Н4Б-300Г220-300
Фл.ст=4600лм
лк

72
светильника
Вт
Расчет
электроосвещения для люминесцентных
ламп (ЛЛ)Расчет
ЛЛ методом удельной мощности,Вт/м2
Исходные данные:
А=18м,
В=36м, H=7м, среда В-Iа
Определяем
площадь помещения

Производим
выбор светильника
Среда
В – Iа, ЛН, ЛН-НОГЛ-1
НОГЛ-1
Выбираем
освещенность
Г-0,8,
Енорм=155лк,
Кз=1,5

м
Определяем
удельную мощность
Выбираем
лампу ЛТБ-80
=
1,5Вт/м2 при
Е=100лк, Z=1,1
При
Е-150 лк удельная мощность равна
=
6,75Вт/м2
Определяем
установленную мощность

Определяем
предварительное количество светильников

5.Расчет
электрического освещения методом
коэффициента использования светового
потока
Определяем
световой поток ЛЛ и уточняем количество
светильников:

где
Кз
=1,5
Z =1,1
n =27
Светильник
второй группы НОГЛ-
pпотолка=50%,
pстен=30%,
pраб.поверх=10%,


Сравниваем
расчетный световой поток со световым
потоком стандартной лампы
ЛТБ-80
Флл
=4440лм Фсв-ка
=
лк
10600≠8880 производим перерасчет количества
светильников

Вывод: принимаем к установке 32 (2*80)
Проверка освещенности в
контрольных точках.Располагаем
светильники на плане 32 (2*80), Iсв-1655
мм

а) определяем количество светильников
в длину
n2=
В/ Lкв=36/1,7=21≈16
шт
принимаем три ряда
б) количество светильников в ряду
n2=
n/ n1=32/3=11шт
г) определяем расстояние между рядами:
м
г)
расстояние от стен:
м
д)
определяем расстояние между светильниками
в ряду:
м
е)
между светильниками
м
Расчетные
данные заносим в таблицу

Определяем
Е в контрольной точке
;
где
Фл.ст–
световой поток стандартной лампы, лм
μ-
1,02-1,15 – коэффициент, учитывающий
освещенность у неучтенных светильников
–
суммарная «е»- относительная освещенность
1000-
световой поток условной лампы
К3–
коэффициент запаса
-длина
светильника
лс


Принимаем
к установке 8 светильников в ряду
м
лк

Вывод:
Принимаем к установке 24 (2*80) светильников.
Средние цены
Стоимость светодиодных светильников достаточно высока, что обусловлено высокой стоимостью самих светодиодов и необходимостью комплектации светильника устройством, преобразующим напряжение питающей сети в напряжение питания светодиодов. При использовании светодиодных ламп, в конструкции которых предусмотрен преобразователь напряжения, стоимость светильника несколько ниже.
Стоимость светильника зависит от:
- Размера, формы и материала, из которого изготовлен корпус светильника;
- Типа и количества светодиодов;
- Драйвера (преобразователя напряжения), его мощности и прочих технических характеристик;
- Материала, формы и размера используемой оптики;
- Технических характеристик светильника в целом (степень защиты, гарантийный срок и т.д.);
- Бренда производителя.
Средняя стоимость светодиодных светильников, в зависимости от их конструкции, по данным интернет ресурсов, составляет:
- Точечные светильники – 500,0 – 600,00 рублей.
- Светодиодные ленты одного типа свечения – 400,00 – 600,00 рублей.
- Светодиодные ленты RGB свечения – 1800,0 – 2300,00 рублей.
- Светодиодные прожекторы – 700,00 – 1000,00 рублей.
- Декоративные светильники – 1500,00 – 2000,00 рублей.
Источники света
Существует огромное количество источников света, каждый из которых характеризуется своими преимуществами и недостатками. Перечислим основные:
- лампы с нитью накала;
- светодиодные светильники;
- люминесцентные;
- энергосберегающие;
- оптоволоконные светильники;
- галогенки.

Выбор источника зависит от конкретной ситуации. К примеру, лампы накаливания дают более мягкие оттенки, но при этом потребляют намного больше электроэнергии, чем все остальные.
Естественный свет
Естественное освещение позволяет понизить энергетические затраты в светлое время суток, украшает комнаты, создает различные эффекты, является полностью безопасным для зрения и оказывает положительное действие на общее самочувствие человека. Уровень естественного освещения зависит от количества окон в комнате и их габаритных размеров.
Искусственное освещение
В данном случае речь идет о многочисленных светильниках, к выбору которых следует подходить с большой осторожностью. Нужно одновременно учитывать несколько факторов, включая безопасность, энергопотребление, визуальное восприятие и т.п

Методика расчёта
Наиболее объективным из простых расчётов (без построения графиков и номограмм) является
метод определения коэффициента световой наполненности помещения (Ксн). Найдя его, Вы сможете подобрать мощность и количество лампочек, которые понадобятся для конкретного объекта. Стоит отметить, что данный расчёт будет справедлив для комнат с правильной геометрией (квадрат, прямоугольник), для комнаты со сложной архитектурой нужно использовать другие методики.
Итак, разберём процедуру его вычисления на основе примера – гостиной со стенами А = 7 м, Б = 5 м, высотой потолков – 3 м, с белым потолком, светлыми стенами и полом серого цвета.
Формула следующая:
Ксн =
Кно – индекс неравномерности освещения (для ламп накаливания он составляет 1,15);
S – площадь комнаты (А*Б);
Кз — коэффициент запаса (берётся из СНиПа 2305-95 – в нашем примере это 0,8 )
Eн – нормативная освещённость (в люксах) для выбранной комнаты. В нашем случае это 150 люксов.
Кисп – показатель использования светового потока, отображающий количество
света, попадающего на рабочие поверхности. Он рассчитывается на основе индекса помещения:
Ип =
В нём Вр – это расчётная высота подсветки рабочих поверхностей. Для её определения от общей высоты комнаты отнимается расстояние от потолка (3м) до лампы светильника (обычно это полметра) и высота от пола до рабочей поверхности (принято брать 80 см)
В нашем примере получается: Вp = 3 – 0,8 – 0,5 = 1,7 м
Итак, теперь можно рассчитать индекс использования светового потока в данном помещении:
Ип = = 1,71
Округляем полученный результат в большую сторону – до 2. Поскольку здесь также учитывается и степень отражаемости поверхностей в помещении, определим по таблице внизу коэффициенты отражения для нашей гостиной: потолки – белые (к=0,7), стены – светлые (к=0,5), пол – серый (к=0,3)

Таблица коэффициента отражения
Теперь по приведённой ниже таблице находим коэффициент использования (Кисп). Никакой расчёт не нужен – просто на пересечении двух параметров находится искомое значение – у нас это 0,62.

Отражение света
Определим, наконец, нормативный уровень световой наполненности комнаты. Учитывая, что для нашей гостиной (по утверждённым нормативам) достаточно освещенности на уровне 150 лк (т.е. показатель Ен = 150) – его и берём в расчёт.

Освещение жилых помещений
Ксн = = 7790 люмен
Воспользовавшись приведённой ниже таблицей можно рассчитать, сколько и каких ламп будет достаточно для обеспечения подходящего по яркости светового фона.

Световой поток ламп
Дальнейший расчёт – элементарный. Для этого полученный результат — 7790 лм делим на номинальный световой поток лампочек – мы взяли 700 лм. Получается, что для обеспечения такого уровня подсветки необходимо установить светильники с 11 –ю лампами накаливания по 60 Вт каждая, или столько же люминесцентных по 15 Вт, либо же 11 шт. светодиодов по 8 Вт. Такого количества лампочек будет хватать в избытке для всех нужд жильцов.
Если брать осветительные приборы, то это, например: две люстры (с четырьмя лампочками в каждой), пара бра, торшер (или настольная лампа). Понятно, что вовсе необязательно включать сразу все светильники. Вы можете по мере необходимости регулировать локальную подсветку. Также можно брать меньшее количество более мощных ламп.
Для проверки полученного результата просчитаем также и по упомянутому в начале статьи простому расчёту:
(35 м 2 * 20 Вт) = 700 Вт/м2.
Делим результат на 60 Вт — получаются примерно те же 11-12 лампочек по 60 Вт. Так что в случае использования ламп накаливания этим способом вполне можно пользоваться. Для остальных ламп – сопоставляйте и подбирайте аналоги, исходя из заявленных производителей мощностей.
1. Расчет освещенности в программе DIALux
Для расчета освещенности необходимо задать параметры помещения, высоту подвеса светильников, коэффициенты отражения поверхностей, и, самое главное, добавить в библиотеку программы IES-файл (файл с фотометрическими данными) светильника.
Исходя из требуемой освещенности программа предложит количество и схему расположения светильников.
Для рассмотренного выше примера получаем следующую модель светораспределения:

Поверхность | Ecp | Ecp | Emin | Emax | Emin / Ecp | |||||||
Рабочая плоскость | 286 | 160 | 353 | 0.558 | ||||||||
Полы | 30 | 277 | 159 | 343 | 0.573 | |||||||
Потолок | 70 | 80 | 61 | 87 | 0.765 | |||||||
Стенки (4) | 50 | 155 | 68 | 235 |
Видим, что освещенность выше планируемого значения, изменяем количество светильников, проверяем результат:

Поверхность | | Ecp | Emin | Emax | Emin / Ecp | |||||||
Рабочая плоскость | 230 | 127 | 286 | 0.551 | ||||||||
Полы | 30 | 222 | 127 | 274 | 0.572 | |||||||
Потолок | 70 | 64 | 48 | 72 | 0.751 | |||||||
Стенки (4) | 50 | 123 | 54 | 211 |
При установке 12 светильников освещенность цеха будет соответствовать требованиям, поэтому остановимся на этом варианте.
Программа DIALux позволяет выполнять как простейшие расчеты, так и расчеты для сложных объектов – стадионов, стеллажных складов, помещений сложной геометрической формы.
Вы можете самостоятельно рассчитать необходимое количество светильников, воспользовавшись каталогом IES-файлов для светильников производства DiodeSystem, или обратиться за консультацией к нашим специалистам.
Алгоритм расчета
Итак, все части головоломки разложены перед читателем. Осталось собрать их воедино. Выполнить расчет своими руками поможет простая и очевидная инструкция.
Суммарная светимость источников света должна быть равной произведению трех величин:
- Нормы освещенности для соответствующего типа помещений;
- Площади помещения;
- Коэффициента поправки на высоту потолка.
Так, для детской комнаты площадью 19,6 м2 с потолком высотой 2,7 метра потребность в освещении составляет 19,6х200х1=3920 лм.
При использовании нескольких источников света их светимость суммируется
Как рассчитать светимость led-светильника, если производитель не снизошел до любезности указать ее на упаковке?
Обратите внимание на потребляемую мощность. Ее можно грубо пересчитать в люмены, зная примерную светоотдачу соответствующего поколения светодиодов с поправкой на потери в драйвере
Для сравнительно новой продукции (выпущенной после 2014 года) можно ориентироваться на значения, приведенные в таблице строчкой ниже.
Пересчет мощности в светимость для последних поколений led-светильников
Нормативы освещения различных помещений
Для каждого помещения, вне зависимости от того, это помещение производственного или бытового предназначения, существуют нормы освещенности, которые регламентированы нормативными документами и правилами.
Основным документом, определяющим предельно минимальные значения освещенности в определенной плоскости пространства помещения, являются: СП 52.13330.2011 — Свод Правил «Естественное и искусственное освещение. Актуализированная редакция СНиП 23-05-95*» (СП) и Правила устройства электроустановок (ПУЭ).
В соответствии с данным документом, определены нормы естественного, искусственного и совмещенного освещения различных зданий и сооружений. Кроме этого Свод Правил определяет нормы искусственного освещения селитебных зон и площадок различной направленности (строительные, складские и т.д.).
Для определения освещенности внутри помещений жилых зданий, СП регламентирует нормы освещенности, в соответствии с разрядом зрительной работы, выполняемой в конкретном помещении и определяет место расположения расчетной точки, в которой освещенность должна соответствовать указанным значениям (высота над уровнем пола, уровень пола и т.д.).
Нормы освещенности, в зависимости от разряда зрительной работы, имеют следующие значения:
| Характеристика зрительной работы | Разряд зрительной работы | Подразряд зрительной работы | Освещенность, Лк |
|---|---|---|---|
| Очень высокой точности | «А» | 1 2 | 500 400 |
| Высокой точности | «Б» | 1 2 | 300 200 |
| Средней точности | «В» | 1 2 | 150 100 |
| Для ориентирования в пространстве помещений | «Ж» | 1 2 | 75 50 |
| Для зон перемещения людей | «З» | 1 2 | 30 20 |
Свод Правил устанавливает связь, между характеристикой зрительной работы (освещенностью) и максимально допустимой удельной мощностью установленных источников света.
Удельная мощность измеряется в Вт на м2, и должна соответствовать следующим значениям:
| Требуемая освещенность, Лк | 500 | 400 | 300 | 200 | 150 | 100 |
|---|---|---|---|---|---|---|
| Удельная мощность, Вт/м2 | 28,0 -42,0 | 20,0 – 30,0 | 16,0 -25,0 | 12,0 -18,0 | 10,0 -15,0 | 8,0 -12,0 |
Данные удельной мощности, приведены в соответствии с индексом помещения, определяющим способность материалов, которыми выполнена отделка, поглощать или отражать световые лучи.
Для светильников, устанавливаемых в жилых помещениях, определен коэффициент запаса Кз, увеличивающий значение установленной мощности, при выполнении расчетов.
Данный коэффициент вводится для того, чтобы освещенность, установленная регламентирующими документами, оставалась в заданных значениях, при снижении технических показателей светильников, в процессе их эксплуатации.
В соответствии со Сводом Правил, для помещений общественных и жилых зданий коэффициент запаса Кз=1,4 – для светильников с лампами накаливания и энергосберегающими лампами, и Кз=1,1 – для светодиодных светильников.
Кроме выше перечисленного, СП и ПУЭ, регламентируют виды систем освещения (рабочее, аварийное, эвакуационное) и определяют варианты их устройства.
Коэффициент использования
Суть способа заключается в использовании коэффициента η. Этот коэффициент равен соотношению светового потока, ниспадающего на поверхность, к общему световому потоку, идущего от осветительного прибора.
В нашем случае «i» рассчитывается следующим образом i=(B+A)/h*(A+B), где:
- В – ширина;
- А – длина;
- h – расчетная высота.
Кроме этого нужно рассчитать световой поток для каждого работающего светильника. Расчет проводиться по следующей формуле

Где:
- Е – заданный уровень минимальной освещенности;
- К – стандартный коэффициент запаса;
- S –площадь, которую освещает светильник;
- z – коэффициент, отражающий неравномерность подсветки;
- N – количество ламп, которые установлены в комнате. Этот параметр должен быть определен заранее до расчетов.
Этим методом можно легко вычислить световой поток для каждого осветительного прибора, который будет использоваться в помещении.
Типы светильников
Перед тем, как выбрать светильник полезно узнать, какие типы осветительных приборов существуют.
По конструктивному исполнению светильники подразделяются на напольные и настольные.

Напольные светильники
К напольным светильникам относится торшер, являющийся универсальным осветительным прибором для различных типов помещений.
Его применяют не только для локальной подсветки какой-либо зоны в комнате, но и в качестве декоративного элемента.

Напольные осветительные приборы могут иметь разнообразный дизайн, но чаще всего они выполнены в виде плафона на высокой ножке.
При этом в современных моделях высота и положение ножки может регулироваться, а абажур – сниматься, что очень удобно.
Более того такой прибор не нуждается в сложном монтаже, но он пригоден только для подсвечивания отдельных зон.

Настольные светильники
Настольные светильники представляют собой мобильные и компактные переносные конструкции на ножке с возможностью регулировки наклона, отличающиеся удобством в эксплуатации и небольшой стоимостью.
Их подразделяют на рабочие и декоративные, при этом в зависимости от назначения к таким приборам выдвигается ряд соответствующих требований.

Подвесные светильники
К подвесным приборам причисляют плафоны. Они предназначены для подсвечивания отдельных рабочих зон и зонирования пространства.
Также они могут крепиться на разной высоте.

Настенные светильники
К настенным светильникам можно отнести бра, которые монтируются на стене.
Чаще всего они применяются для акцентного освещения или подсвечивания отдельных зон в большом пространстве.

Встраиваемые светильники
К нему чаще всего относят точечные светильники (споты).
Они представляют собой небольшие осветительные приборы с направленным светом, распространяющимся под определенным углом, и могут использоваться в любых помещениях в качестве дополнительного источника света.

Преимущества и недостатки
Светильники, изготовленные с использованием светодиодов, обладают многими преимуществами, в сравнении с лампами накаливания и энергосберегающими источниками света, а именно:
- Малая электрическая мощность, определяющая низкий уровень потребления электрической энергии, при значительном световом потоке, излучаемом в процессе работы.
- Продолжительные сроки эксплуатации, в разы превышающие сроки у аналогов (лампы накаливания и энергосберегающие лампы).
- Возможность управлять уровнем освещенности и его качеством, посредством установки специальных устройств, диммеров.
- Экологическая и пожарная безопасность подобных светильников, как для человека, так и для окружающей среды.
- Способность создавать качественное освещение, без пульсаций, вне зависимости от качества напряжения и тока в питающих линиях.
- Широкий диапазон рабочих температур и стойкость к внешним воздействиям.
- Простота установки и обслуживания.
- Разнообразие форм и конструкций, позволяет использовать для различных видов освещения.
Кроме перечисленных достоинств, которых достаточно много, есть и ряд недостатков, это:
- Высокая стоимость – главный недостаток подобных устройств.
- В процессе эксплуатации световой поток уменьшается, что снижает качественные показатели освещения.
- При выходе одного из светодиодов, установленных в конструкции модели, выходит из строя все устройство, что требует его полной замены.
Условия производственной деятельности
На любом промышленном производстве свет оказывается ведущее значение в создании зрительной работоспособности работников. Кроме этого уровень освещённости оказывает прямое воздействие на моральное и физическое состояние людей, что естественным образом влияет на качество продукции и травматизм. Поэтому, чтобы создать правильный уровень освещенности, необходимо руководствоваться следующими требованиями:
при создании естественного и искусственного типа освещения (пример: общего, рабочего, аварийного и т.д.) помещений нужно руководствоваться регламентирующей документацией. Отличный пример регламентирующей документации — СНиП;
Освещение рабочего места
- отсутствие резких теней при подсветке производственных помещений;
- испускаемый световой поток должен иметь правильную цветопередачу;
- отсутствие негативных факторов, при работе системы общей и местной (рабочего, аварийного и другого типа) подсветки. Здесь речь идет о том, что светильники при своей работе не должны издавать шум, создавать риск появления пожара или нести угрозу жизни и здоровью людей.
При этом стоит помнить, что свет для производственных помещений необходим двух типов:
- естественного плана. Создаются с помощью оконных проемов и стеклянных конструкций крыж и потолка;
- искусственного плана. Бывает местного, рабочего, аварийного, охранного и т.д. Реализуется с помощью разнообразных светильников и лампочек.
Методы расчета, которые применяются для естественного и искусственного типа освещения производственных помещений, сильно различаются между собой. Каждый пример вычислений освещения для таких помещений имеет свои нюансы и тонкости. Поэтому рассмотрим их более детально.



































