Модельный ряд
Конструктивные особенности разных типов радиаторов
В каталоге компании представлены модели Classic и Universal. Изделия выпускаются с боковой и нижней подводкой. Производитель предлагает широкий ряд типоразмеров, позволяющий спроектировать оптимальную систему отопления. Конструктивно приборы состоят из одной, двух или трех панелей, плюс оребрение. В каталоге компании представлено несколько типов радиаторов. Они различаются глубиной, количеством панелей, наличием оребрения.
Разновидности батарей Prado:
- Тип 10 – самая узкая модель (72 мм), состоящая из одного ряда панелей. Ее плюс – доступная стоимость. К минусам относят небольшую мощность отопления.
- Тип 11 – к задней части однорядной панели приварено оребрение. Изделие укомплектовано воздуховыпускной решеткой и боковыми планками.
- Тип 20 – радиатор с двумя панелями, но без конвекционных ребер. Сверху имеется решетка. Глубина 82 мм.
- Тип 21 – модель состоит из двух панелей и оребрения между ними. Отопительный прибор получил всю необходимую отделку – решетку и боковые вставки.
- Тип 22 – штампованные части расположены в два ряда, к каждой приварен ребристый конвектор. Глубина изделия 108 мм, сверху установлена решетка, по бокам планки.
- Тип 30 – трехрядный радиатор, не имеющий оребрения. Модель с буквой «Z» предлагается без решетки и боковин. Вариант с буквой «V» с вертикальным подключением.
- Тип 33 – три ряда панелей с оребрением образуют глубину 172 мм. Радиатор полностью укомплектован отделочными элементами.
Prado Classic
Радиаторы Прадо Классик используют в двухтрубных и однотрубных коммуникационных сетях. Их можно устанавливать в гравитационные системы и функционирующие с насосными станциями. С четырех сторон изделия имеются отверстия для боковой подводки труб. Радиаторы Классик представлены во всех типах. Их особенностью является отсутствие правого и левого исполнения. Отопительный прибор можно подключить только с одной стороны, со второй ставится заглушка.
Для учреждений с повышенными требованиями к чистоте предназначены отопительные приборы серии Z-гигиенические. Они лишены оребрения, боковых стенок и решетки. При маркировке изделий указывается их тип и габариты. Например: модель Prado Classic 22- 500-500 – радиатор с боковым подключением тип 22, длина 500 мм, ширина 500 мм.
Prado Universal
Преимуществом батарей Универсал является универсальная подводка. Конструкция позволяет осуществить нижнее присоединение, скрыв трубы отопления. Возможен вариант коммутации через 4 соединительных отверстия в углах прибора. Изделия производятся различных типов, от однорядных до трехрядных. Также имеется серия Z гигиенических приборов отопления. Приборы оборудованы соединительными патрубками с правой и левой стороны, что упрощает монтаж. Стальные Prado Universal радиаторы оснащаются терморегуляторами Danfoss, контролирующими их мощность. Клапаны рассчитаны на двухтрубную систему. При установке батарей в однотрубную сеть выбирают модели с пониженным сопротивлением терморегулятора.
Технические характеристики Тойота Прадо 150
В 2009 году дизельная версия автомобиля комплектовалась только одним вариантом мотора – 173-сильным турбодизелем. Производительность двигателя – 173 л.с., средний расход в комбинированном режиме – 8,1 литра. Время разгона до сотни – 11,7 с. Мотор комплектовался коробкой «автомат» и полноприводной трансмиссией.
В 2013 году на рынке появилась Прадо 150 дизель 2.8. Параметры нового мотора – мощность 177 л.с., время разгона – 12,7 секунд, средний расход дизтоплива – 7,4 литра на 100 км. Второй мотор остался прежним – трёхлитровым с производительностью 173 л.с. В 2017 году производитель снова оставил только один вариант силового агрегата – на это раз уже 2,8-литровый.
Первые версии дизельного Прадо получили багажник объёмом 621 литр для пятиместной версии и возможностью загрузить до 1,934 куб. м при складывании второго ряда кресел. У семиместных версий те же цифры равны 104 и 1833 литрам, соответственно. Параметры багажника следующих поколений не менялись. Дорожный просвет у версии 2009 года был равен 220 мм, у остальных Prado 150 – 215 мм.
Присоединение стального радиатора к трубам из полипропилена
Для того чтобы правильно подсоединить радиатор отопления к системе, необходим комплект для установки радиаторов отопления. Он состоит из двух специальных прямых или угловых кранов. При помощи комплекта для монтажа можно полностью перекрывать подачу теплоносителя в радиатор, это позволяет отсоединить его при работающей системе.


Скручиваем с переходной муфтой и измеряем расстояние до центра. Получилось 58 мм, это ровно то расстояние, которое указано в документации к радиатору. Взгляните выше PRADO Classic Тип 11.

Указано 47/58 — это расстояние от стены до центра. Первое число обозначает расстояние если крепежную планку прикрутить широкой полкой к стене, второе — узкой. Соответственно, чтобы батарея стояла правильно, необходимо, чтобы переходная муфта, фактически касалась стены.
Для этого отрезаем все лишнее, оставляем 10-11 мм

Отлично, отрезали, теперь хорошо бы установить все без отклонений по осям и углам. На авось пускать не хотелось поэтому поставил лазерный уровень. По нему четко можно установить кран.

Дальше все как по накатанной. Разумеется, если вы уже раньше пользовались паяльником для ППР труб.
Обзор других производителей стальных радиаторов
Сегодня популярности добились следующие марки:
DELONGHI (Италия). Известная итальянская фирма, отличающаяся качеством исполнения, надежности, покраски и высокой характеристикой теплообмена. Панельные радиаторы из стали DELONGHI используют в загородных домах, офисных зданиях, дачах. Реже встречаются в квартирах.
- ELBA (Турция). Справедливое соотношение цены и качества. Оптимально подходит для установки в частных домах и бюджетных коттеджах.
- GRANDINI (Турция). Радиаторы выпускаются различных модификаций и размеров. Возможны боковая и нижняя подводки.
- IMAS (Италия). Считается одним из лучших производителей в Италии. Надежная и качественная продукция по самой низкой стоимости. Гарантийный срок эксплуатации — 10 лет.
- KERMI (Германия). Немецкое качество. Устанавливают в торговых, офисных зданиях и коттеджах.
- KORAD (Словакия). Продукция выполнена из качественных материалов. Гарантийный срок эксплуатации -6 лет.
- KORADO (Чехия). Радиаторы этой торговой марки пользуется большим спросом среди монтажных и строительных организаций. Имеет достоинства всех известных мировых брендов, при этом оставаясь доступными по цене. Используют во всех типах помещений.
- VOGEL & NOOT (Австрия). Торговая марка характеризуется широким спектром изделий разных по оттенкам и размерам. Качественная продукция для жилищного фонда. Гарантийный срок службы — 10 лет.
- PURMO (Финляндия). Для низкотемпературных котлов идеальный вариант подключения. Высокий ценовой диапазон продиктован отличным качеством товара.
- WARMEKRAFT (Турция). Бюджетные модели при приличном качестве. Гарантийный срок — 10 лет.
Стальные панельные радиаторы всех вышеуказанных производителей имеют рабочее давление в 10 атмосфер, кроме WARMEKRAFT — 11 атмосфер и KORAD — 8,7 атмосфер.
Преимущества батарей отопления Прадо и их разновидности
Термостатическая головка дает возможность регулировать температуру в помещении.
Продукция Prado считается достаточно интересной с точки зрения инженерии. Перед тем как принять решение о покупке, стоит рассмотреть не только технические характеристики изделий, но еще их достоинства:
- привлекательный дизайн;
- максимальная температура теплоносителя – 120 °C;
- минимальная толщина, которая позволяет радиатору прятаться под подоконником;
- высокая адаптивная способность;
- наличие воздуховыпускной решетки и боковых панелей.
Но последние преимущества не всегда являются плюсами. Да, теплоотдача за счет конвекции увеличивается, привлекательность изделия тоже, а вот уход за ним, однозначно, нет. Пользователи отмечают, что из-за воздуховыпускной решетки пыль попадает в труднодоступные места отопительного прибора, что ухудшает его облик. Также читают: «Биметаллические батареи отопления Монолит».
Батарея отопления Прадо – современный радиатор, доступный потребителям в трех вариациях:
Первый тип («Классик») отличается тем, что подводка труб к устройству осуществляется сбоку. Он оснащен решетками для выпуска нагретого воздуха, которые расположены сверху. Модель универсал позволяет проводить подключение как удобно пользователю. Два варианта подводки – сразу 4 боковых входа и возможность нижнего подключения к системе отопления. Применяются исключительно для двухтрубного обогрева. Данная вариация оснащена термостатом, обладающим большим гидравлическим сопротивлением.
Модели с маркировкой «Z» – варианты, которые не оснащены кожухом. Они не имеют дополнительных ребер, боковых панелей и верхней решетки для увеличения конвекционной составляющей.
О том, как проводится продувка батарей отопления читайте в этой статье.
Выпускаемые модельные ряды
Стальные батареи отопления Прадо представлены на рынке несколькими модельными рядами. Их всего четыре, поэтому никаких мук выбора не будет – всё предельно легко и просто
Для эксплуатации в детских комнатах и зданиях медицинского назначения рекомендуется обратить внимание на гигиенические образцы
Classic с боковой подводкой

Радиатор Prado Classic станет надёжным и недорогим решением для обогрева вашего дома, гарантия на оборудование составляет 10 лет.
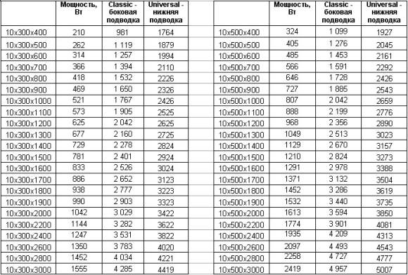
Серия Classic характеризуется боковой подводкой теплоносителя и оснащается защитными боковыми элементами и верхней решёткой. Данные радиаторы могут эксплуатироваться при температуре до +120 градусов и давлении до 9 атмосфер. Сфера применения – обогрев зданий любого назначения (от жилых до промышленных). Серия включает в себя следующие типы – 33, 30, 22, 21, 20, 11 и 10, высота – 300 и 500 мм, длина – от 400 до 3000 мм.
Тепловая мощность составляет от 210 до 4874 Вт для моделей высотой 300 мм и от 324 до 7656 Вт для образцов высотой 500 мм. Способы подключения – боковое, нижнее боковое или диагональное, в том числе с применением термостатических клапанов.
Universal с нижней подводкой
Данный модельный ряд от компании Прадо включает в себя радиаторы 10, 11, 20, 21, 22, 30 и 33 типов. Высота корпусов составляет 300 или 500 мм, длина – от 400 до 3000 мм. Максимальная эксплуатационная температура для модельного ряда составляет +120 градусов при давлении в контуре не выше 9 атмосфер. Отличие от предыдущей линейки – нижняя подводка, удобная в тех случаях, когда трубы отопительной системы утоплены в полы. По остальным характеристикам оба модельных ряда схожи вплоть до мелочей.
Монтаж и эксплуатация
Установка панельных радиаторов происходит в короткий срок. Они продаются в сборе, остается только навесить прибор на стену и присоединить к трубам. Размещение приборов осуществляется по нормам СНиП. Согласно документу расстояние от пола до нижней части панели должно быть 7-20 см, в зависимости от типа изделия. Батареи обычно устанавливают под окнами. По инструкции до края подоконника расстояние от 7 см.
- Выполнить разметку для фиксации крепежных деталей.
- Кронштейны закрепить дюбелями или заделать в цементный раствор.
- Снять пленку в местах присоединения прибора к трубам.
- Повесить радиатор на полку крепления.
- Соединить прибор с трубами отопления.
- В верхнем патрубке установить воздухоотводчик. Неиспользуемые выходы закрыть заглушками.
- В радиаторах Универсал устанавливают терморегулятор.
- Заполнить систему теплоносителем через обратную магистраль, чтобы избежать образования воздушных пробок.
Особенности эксплуатации
Панельные радиаторы имеют маленькое сечение вертикальных каналов. Это сказывается на чувствительности к загрязнению теплоносителя. Жидкость с большим количеством взвесей и примесей быстро забьет коллекторы. В индивидуальных системах легко контролировать качество используемого теплоносителя, в многоквартирных домах придется устанавливать фильтры для улавливания грязи.
Производитель не рекомендует сливать воду из приборов больше чем на 15 дней в году. Продолжительное нахождение без жидкости вызывает быструю коррозию металла. Радиаторы необходимо мыть не менее 3-4 раз в год. Запрещается использовать абразивные материалы.
Радиаторы Prado популярны среди потребителей благодаря надежности, долгому сроку службы и высокой теплоотдаче.
Двигатели
Моторы Prado рядные или вида V, с 4 и 6 цилиндрами. Типы двигателей:на бензине, дизельные. Эксплуатационные показатели зависят от модели.
Автомобили 70 серии выпускали с дизельным двигателем с объемом в литрах 2,4 (85 л. с.) и 3,0 (130 л. с.). Турбированный моторы имели 4 цилиндра.
Серия 90 выпускалась с 6 видами двигателей.
- 2 бензиновых — с объемом 2,7 л и 3,4 л. Мощность 150 и 185 л. с. соответственно.
- 4 дизеля — турбированные, с объемом 2,8 (91 л. с.) и 3 л (97, 170, 173 л. с.).
Поколение 120 оснащалось бензиновыми двигателями 4 видов, 2 типами турбинных дизельных, 1 атмосферным мотором на дизеле.
- Бензиновые имели мощности 150 и 160 л. с. для объема 2,7 л, 185 л. с .на 3,4 л, 249 л. с. на 4-х литровый объем.
- Дизельные с турбонаддувом были 3 литровые, с мощностью 163 и 166 л. с.
- Атмосферный мотор на 3 л (95 л. с.).
Под капотами внедорожников последней серии находятся моторы 3 видов:
- атмосферный 2,7 л, мощность 163 л. с., с 4 цилиндрами и конструкцией многоточечного (распределительного) впрыска;
- турбированный 2,8 л на 177 л. с., установлен Common Reil и интеркуллером, дизельный;
- V6 турбированный 4,0 л и 282 л. с., топливо впрыскивается по распределительной системе.
Технические характеристики и сфера применения
Радиаторы Prado изготавливают из стальных сплавов, а они подвержены коррозийным процессам, поэтому их можно использовать только при обустройстве систем теплоснабжения закрытого типа. В этом случае они прослужат достаточно долго.
Если предполагается замена системы отопления в многоквартирном доме, прежде всего, нужно обратиться в эксплуатационную организацию для уточнения ее параметров. От состояния, в котором она находится, зависит выбор типа отопительных агрегатов для квартиры.
Многоэтажные здания в настоящее время снабжают теплом согласно разным схемам. Если дом подключен в соответствии с независимым вариантом или имеется индивидуальная система подготовки воды, тогда можно монтировать батареи из любого металла, в том числе и из стального сплава.
В случае, если система теплоснабжения зависимая, это означает, что строение подсоединено напрямую, тогда следует уточнить качество и состав теплоносителя.
Радиаторы Прадо из стальных сплавов допускается использовать в отопительных конструкциях, имеющих определенные параметры:
- температура воды не более 120 градусов;
- при толщине материала 1,2 миллиметра рабочее давление должно составлять 0,9 Мпа, а при 1,4 миллиметра- 1,0 Мпа;
- требуемое опрессовочное давление при использовании стали толщиной 1,2 миллиметра– 1,25 Мпа, а при 1,4 миллиметра- 1,5 Мпа;
- необходимое давление на разрыв, если толщина листа 1,2 миллиметра– 2,25 Мпа, а 1,4 миллиметра- 2,5 Мпа;
- для рабочей среды водородная активность должна находиться в диапазоне от 8 до 9,5, но лучше, если 8,3 — 9.
Немаловажное значение имеет количество различных примесей в теплоносителе. Если на стояке имеются фильтры и грязевики, то обычно их количество небольшое
В случае прямого подключения к центральной теплоснабжающей магистрали, приобретать панельные радиаторы из стальных сплавов не следует
В случае прямого подключения к центральной теплоснабжающей магистрали, приобретать панельные радиаторы из стальных сплавов не следует.
Причина в том, что вертикально расположенные коллекторы для перемещения рабочей среды имеют настолько узкое сечение, что наличие значительного количества взвешенных частиц приводит к тому, что они забиваются. Поскольку радиаторы Prado являются неразборной конструкцией, в случае нарушения циркуляции теплоносителя предпринять что-либо будет сложно.
О компании
Компания, занимающаяся изготовлением рассматриваемых радиаторов, обладает достаточно богатой историей, так как была основана в городе Ижевск еще в 1959 году. НИТИ «Прогресс» в то время был одним из лидеров инженерно-технической мысли СССР. После распада Советского Союза компания претерпела реорганизацию и перепрофилирование.
Следует отметить, что изготовление стальных радиаторов отопления на производствах НИТИ «Прогресс» было освоено относительно недавно – в 2005 году. Тогда же и возникла торговая марка «Prado». Параллельно с этим в Ижевске открылся торговый дом, основной задачей которого являлось продвижение радиаторов Прадо на отечественном рынке.
На сегодняшний день батареи отопления, выпускающиеся под этой маркой, обрели популярность не только в РФ, но и других странах СНГ. Причем, продукция торгового дома Прадо неоднократно награждалась кубками отраслевых выставок и была отмечена дипломами.
Варианты изменения температуры в радиаторах отопления
Способов осуществления поставленной задачи есть несколько, и каждый из них необходимо рассмотреть в отдельности.
Установка вентилей и кранов
Одним из самых простых и понятных вариантов регулировки температуры в радиаторах является установка специальных вентилей и клапанов. Суть в том, что если в помещении установлена слишком высокая температура, а регулировка самого теплоносителя невозможна (центральное отопление), то можно сократить его подачу в радиаторы. Достигается это при помощи установки в систему регулировочных клапанов. Чаще всего используются шаровые элементы, которые простым вращением перекрывают поток теплоносителя внутри батарей. Стоит отметить, что такой вариант актуален только в случае необходимости снижения температуры в помещении. Сделать батареи горячее такие клапаны не могут.
Обратите внимание! Шаровые краны не рекомендуется использовать для частичного перекрывания потока воды, так как от этого их срок службы очень сокращается
Ассортимент
В настоящее время производитель выпускает 3 модельные линейки радиаторов под маркой Prado.
Первая серия — Prado Classic — представляет собой оборудование со стенками по бокам и специальными решетками, которые монтируются сверху радиатора для выпуска разогретого воздуха. Подключение батареи производится сбоку.
Вторая серия — Prado Universal – отличается двумя вариантами подключения к отопительной системе. Во всех устройствах линейки, оснащаемых интегрированным термостатом, имеются по 4 входа сбоку и подключение снизу. Варианты отличаются по стороне, на которой производится подключение – оно может быть левым или правым.
Санитарные версии вышеназванных серий — Prado Classic Z и Prado Universal Z – составляют третью модельную линейку. Как правило, их эксплуатируют в лечебно-профилактических учреждениях. Поэтому особенностью моделей с индексом «Z» стало отсутствие в их конструкции дополнительного оребрения, а также крышек сверху и по бокам.
Радиатор серии Prado Classic Z
Стоит отметить, что радиаторы Classic можно устанавливать в системах с любым видом разводки. В то же время, приборами серии Universal оборудуются двухтрубные контуры.
Термостатические терморегуляторы
По своей конструкции термостатическое устройство напоминает ручной вентиль. При этом на его клапане установлена термостатическая головка, управляющая его работой. Термоголовка включает в себя:
- термодатчик, реагирующий на температуру воздуха и связанный с запорной головкой клапана;
- механизм регулировки, имеющий управляющую рукоятку и шкалу настройки.

Выбрать температуру в помещении, которая будет поддерживаться на постоянном уровне без дальнейшего вмешательства, можно, повернув рукоятку в соответствии с требуемым значением на шкале.
ПОЛЕЗНАЯ ИНФОРМАЦИЯ: Как победить шум в батареях отопления?
Особенности батарей Prado
Производство
Чтобы получить представление о рассматриваемой продукции, в первую очередь следует ознакомиться с особенностями производства, которые перечислены ниже:
- Как уже было сказано выше, батареи Прадо изготавливают в фабричных условиях на мощностях . Основным сырьем для приборов отопления служит высокоуглеродистая сталь не менее 1,2 — 1,4 мм толщиной. Изготовление радиаторов начинается с нарезки стальных листов согласно типоразмерам будущих радиаторов.
- Затем заготовки подвергаются обработке давлением в штамповочной машине, в результате чего приобретают необходимый профиль.
- Две штампованные заготовки свариваются с использованием современных технологий, в результате чего образуется панель. Радиаторы отопления Прадо, в зависимости от модели, могут содержать одну, две или даже три такие панели, между которыми привариваются ребра из более тонкой стали, что повышает теплоотдачу устройства.
Готовые изделия вначале окрашиваются электропогружным способом, после чего на них наносится устойчивая порошковая краска. Благодаря этому, изделия не только привлекательно смотрятся, но и надежно защищены от коррозии.
Технические параметры
Как показывает многолетняя практика использования радиаторов этой фирмы, особенно хорошо они себя «чувствуют» в закрытых системах отопления. Это свойство присуще всем панельным батареям, изготовленным из стали, которая подвержена коррозии.
Если требуется замена радиаторов в доме с централизованным отоплением, то прежде чем покупать стальные конструкции, следует уточнить параметры теплоносителя.
Для того чтобы в многоквартирном доме подошел стальной панельный радиатор Прадо, технические характеристики его должны иметь следующие показатели:
- Носитель не должен нагреваться выше +120 градусов.
- Рабочее давление для подобных устройств соответствует 9 Бар, тогда как испытательное – 12.5 Бар.
- Кислотность теплоносителя должна соответствовать 8.3-9 Ph.
Установка панельных обогревательных систем в домах с централизованным отоплением требует наличия фильтров, так как если дом подключен к теплосети напрямую, то процент взвешенных частиц в нем велик, что приводит к засорению радиаторов. Стальная батарея – это цельная конструкция, в которой не получится заменить одну из секций, если она вышла из строя, а придется менять ее полностью.
Запорные краны
Простейшее приспособление, способное изменять температуру батарей, – это запорный кран. Он может на самом примитивном уровне управлять подачей горячей воды из отопительной системы дома. Запорная арматура имеет вид шарового краника, имеющего всего два положения:
- «закрыто» – движение горячей жидкости остановлено, батарея остывает;
- «открыто» – через радиатор проходит максимальный объем теплоносителя, и он греет в полную силу.
ПОЛЕЗНАЯ ИНФОРМАЦИЯ: Установка термостата на батарею отопления

Существенным минусом применения запорного крана является необходимость постоянных манипуляций. Создать устойчивый температурный режим с помощью этого устройства невозможно.
Использовать кран для регулирования температуры радиатора можно, только если перед батареей установлен байпас (обходная труба). В противном случае закрытый кран нарушит циркуляцию теплоносителя в общедомовой системе.
Узел нижнего подключения радиатора — преимущества использования
Арматура для радиаторов, с помощью которой производится подсоединение снизу, предназначена для использования в стальных панельных теплообменниках и не подходит для алюминиевых секций радиаторов — благодаря этому стальные виды оказывают им высокую конкуренцию. Нижнее включение по сравнению с другими типами имеет следующие преимущества использования арматуры:
- Экономия трубных материалов и отводов — в конструкции пола или на стене для присоединения радиатора имеются только два коротких вывода, трубы не идут к его верхнему входному отверстию.
- Соединение внизу обладает эстетичностью, а если трубопровод выходит из стены, его практически не видно под корпусом и оно не мешает мыть напольное покрытие.
- Запорно регулирующая арматура (краны шаровые или вентили) в «бинокле» позволяет управлять интенсивностью поступающей в теплообменник жидкости, а при полном ее перекрытии снимать батареи для обслуживания или ремонта.
- Узел нижнего подключения с вертикальным байпасом равномерно распределяет воду по радиатору с обогревом его наиболее холодных верхних углов, которое наблюдается при нижнем подсоединении. Также при однотрубной разводке байпас способствует выравниванию температур входящего и обратного потоков, что свою очередь приводит к равномерному нагреванию встроенных в линию приборов.
Рис. 2 Установленные прямой и угловой 3/4 дюймовые нижние фитинги
Радиаторы отопления «Prado»
Стальные радиаторы отопления – это уникальный продукт, сочетающий европейский дизайн и качественную окраску. Стальные панельные радиаторы PRADO не скопированы с западных образцов, а разработаны крупнейшим российским специалистом в области систем отопления В. И. Сасиным.
Стальные панельные радиаторы PRADO обладают целым рядом неоспоримых преимуществ перед традиционными чугунными, иногда называемыми «батареи отопления». Наша продукция поставляется окрашенной в комплекте с заглушками, кранами Маевского, термостатическими клапанами и кронштейнами крепления. Радиаторы PRADO окрашиваются методом электропогружного анафореза с окончательным нанесением порошкового покрытия, после чего упаковываются в пленку, исключающую появление сколов и царапин при перевозке и установке. Радиаторы устанавливаются и функционируют непосредственно в пленке, удаляемой лишь по завершении всех отделочных работ. Низкая масса радиаторов PRADO по сравнению с чугунными при равном тепловом потоке, позволяет резко сократить затраты на их перевозку, а также допускает монтаж на гипсокартон.
Широкая номенклатура типоразмеров наших радиаторов удовлетворит самого взыскательного заказчика. В настоящий момент производятся стальные радиаторы 6 типов высотой в 300 и 500 мм и длиной от 400 до 3000 мм с шагом по длине в 100 мм, что позволяет при проектировании системы отопления подобрать отопительный прибор, который с крайне высокой точностью отвечает запросам потребителя как по мощности, так и по площади теплоотдачи. Продукция «НИТИ «ПРОГРЕСС» может устанавливаться в двухтрубных и однотрубных, гравитационных и насосных системах отопления с боковым или нижним подводом теплоносителя.
Радиаторы PRADO c нижним подводом теплоносителя оснащаются термостатическими клапанами фирмы Danfoss. Использования радиаторов Prado c термостатическими клапанами позволяет автоматически регулировать температуру для создания комфортной атмосферы в помещении. Низкая тепловая инерционность радиаторов Prado значительно экономить энергию при регулировке температуры.
Внешний вид:
Тип 10 – с одним рядом панели по глубине без оребрения.«НИТИ «ПРОГРЕСС» выпускает радиаторы шести типов
Тип 11 – с одним рядом панели по глубине, с одним рядом оребрения, приваренным к тыльной стороне панели, с воздуховыпускной решеткой и боковыми стенками. Тип 20 – с двумя рядами панелей по глубине без оребрения, с воздуховыпускной решеткой и боковыми стенками.
Тип 21 – с двумя рядами панелей по глубине, с однорядным оребрением, расположенным между панелями и приваренным к тыльной панели.
Тип 22 – с двумя рядами панелей по глубине с оребрением, расположенным между панелями и приваренным к каждой панели.
Тип 33 – с тремя рядами панелей по глубине, с оребрением расположенным между панелями и приваренным к каждой панели. Радиаторы типов 11, 20, 21, 22, 33 оснащены боковыми декоративными планками и верхней воздуховыпускной решеткой. Теплопередающая поверхность радиаторов типов 11, 21, 22, 33 развита за счет оребрения из стального гофрированного листа, приваренного контактной сваркой непосредственно к вертикальным каналам для прохода теплоносителя.
Радиаторы рассчитаны на рабочее давление в системе – 9 атм., максимальная температура теплоносителя – 120°С.





































