4.1. Показатели уплотнения грунтов.
Строительство
искусственных насыпей и обратных засыпок
выполняется материалами полученными
при отрывке котлованов и траншей или
материалами со специальными требованиями
по однородности зернистого состава по
деформационным и прочностным
характеристикам. При устройстве плановых
насыпей и засыпок в проекте должна быть
указана требуемая степень уплотнения
грунта.
Требуемая степень
уплотнения грунта наиболее эффективно
достигается при обеспечении его влажности
на уровне оптимальной (
).
Величина оптимальной влажности
определяется опытным путем в приборе
стандартного уплотнения. По результатам
испытания определяется зависимость
изменения плотности скелета грунта (
)
от величины влажности (
),
оптимальная влажность (
)
соответствует
.
Схема к определению |
Требуемая степень
уплотнения грунта (Кcom)
в земляном сооружении определяется по
СП 45.13330.2012 “Земляные сооружения,
основании и фундаменты”, в зависимости
от толщины отсыпки и передаваемых
давлений в процессе эксплуатации.
Для предварительной
оценки параметров уплотненного грунта
на период проектирования возможно
использование расчетной методики,
результаты которой необходимо подтвердить
опытными данными в начале проведения
работ.
При уплотнении
механическими воздействиями уплотнение
грунта возможно если он не достиг
водонасыщеннго состояния. При уплотнении
сыпучих грунтов они могут переходить
во взвешенное состояние при достижении
капиллярно-четочной влажности (Sr≈0,65).
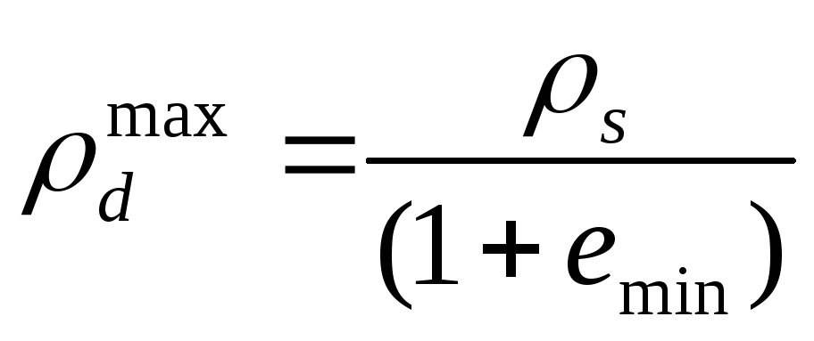
Для глинистого грунта по результатам
опытных работ было установлено что
оптимальная влажность может быть
определена величиной
или
.
С учетом приведенных
условий параметры уплотнения глинистого
грунта можно определить:
;
– плотность породы
твердых частиц грунта, предварительно
может быть принята для супесей 2,7г/см3;
для суглинков 2,71г/см3;
для глин 2,74г/см3;
(0,95..0,97) коэффициент
учитывающий наличие защемленного
воздуха в порах грунта;

– среднее значение оптимальной влажности,
определенной расчетным путем.
Для песчаного
грунта максимальное уплотнение
соответствует плотному состоянию, с
учетом данных о плотном состоянии песков
разной крупности, принимается коэффициент
пористости для гравелистых крупных и
средней крупности песков
,
для песков мелких и пылеватых
,
при степени влажностиSr≈0,62.


Коэффициент
уплотнения грунта

Расчётное значение
плотности скелета грунта составляет:

При производстве
работ по уплотнению грунта, его укладка
осуществляется слоями (h),
окончание уплотнения определяется
путем оценки различных параметров в
зависимости от применяемого оборудования.
Изменение высоты уплотняемого слоя (
)
служит технологическим параметром
уплотнения при производстве работ и
определяется при производстве опытных
работ. Величина
может быть вычислена

ен
– коэффициент пористости грунта в
рыхлом состоянии, укладываемого в
насыпь, определяется опытным путем, при
известных
–
плотности рыхлого грунта; оптимальной
влажности и плотности минерала,
соответственно.


ep
– коэффициент пористости уплотненного
грунта


h
– начальная высота слоя отсыпки грунта
(до уплотнения).
Песчаные грунты
сыпучие, характеризуются хорошей
водоотдачей и быстро высыхают на воздухе,
при укладке в насыпи их часто приходится
дополнительно увлажнять до оптимальной
влажности. Требуемое количество воды
для увлажнения определяется из условий
неизменности ее массы на единицу массы
скелета из твердых частиц до и после
уплотнения грунта. При известной массе
грунта (Мг)
требуемое количество воды для увлажнения
составит:

–
начальная влажность грунта в отн. ед.;
–
оптимальная влажность грунта в отн. ед.
При известном
объеме (Vг)
рыхлого грунта требуемое количество
воды для увлажнения составит
;
–
плотность грунта до уплотнения и до
увлажнения.
Глинистые грунты
связные содержат связанную воду и очень
медленно и неравномерно высыхают. При
необходимости дополнительного увлажнения
требуются специальное оборудование
для подготовки грунта и длительное
время выдерживания для равномерного
распределении влаги. В целом достижение
оптимальной влажности для таких грунтов
является процессом затратным. Глинистые
грунты часто уплотняют без изменения
влажности, при этом степень влажности
уплотняемого грунта не должна превышать
Sr≤0,85.
Как работать плотномером?
Эксплуатационные возможности прибора, которые определяют границу его применяемости, таковы:
- Максимальная глубина внедрения измерительного наконечника, мм – 300.
- Усилие ударного воздействия на грунт, кг – 2,5.
- Поперечный размер конуса зонда, мм – 16.
- Угол при основании конуса, град – 60.
- Поперечный размер уплотняющего штампа, мм – 100.
- Диапазон практической оценки значений плотности материалов, КУ – 0,84…1,01.
КУ – коэффициент уплотнения, под которым понимают отношение фактической плотности грунта к аналогичному параметру в его сухом состоянии, при условии неизменности состава. Показатель КУ нормируется техническими требованиями ГОСТ 22733-2002.

Замер показателя плотности производят при помощи штанги, которую соединяют с наконечником. Для этого используют муфту-наковальню. В таком виде устройство динамический плотномер вертикально устанавливают на ровную поверхность, и, применяя гирю, вводят наконечник в материал. Глубину внедрения можно регулировать при помощи имеющейся на корпусе ручки, которая ограничивает высоту падения гири. Глубина должна быть достаточной, чтобы наконечник соприкоснулся с поверхностью наковальни. Для оценки плотности используют прилагаемые к плотномеру таблицы. В них приводятся графики зависимости количества ударов гири (которые следует нанести, чтобы измерительный стержень опустился на необходимую глубину) от коэффициента уплотнения.
Обычно указанные таблицы соответствуют наиболее распространённым типам грунтов – супесей, суглинков, пылевидного и мелкого песка.
В версии плотномера Д-51М имеется электронный блок-приставка, применение которого позволяет значительно повысить точность результатов зондирования грунта.
Фракция
Гранитный щебень является наиболее распространенным вариантом, потому что обладает высоким уровнем устойчивости к температурным воздействиям и практически не поглощает воду. Прочность гранита соответствует всем техническим требованиям. Наиболее популярные фракции гранита:
мелкозернистый – 5-15 мм;

Фракция 5-15
мелкий – 5-20 мм;

Фракция 5-20
среднем мелкий – 5-40 мм;

Фракция 5-40
средний – 20-40 мм;

Фракция 20-40
крупный – 40-70 мм.

Фракция 40-70
Каждая разновидность имеет различные сферы применения, преимущественно используется мелкая фракция шлака для:
формирование опалубки, фундамента;

Формирование фундамента
приготовление балластных слоев, которые необходимы для ЖД путей и дорог;

Насыпь железных дорог
добавляется в строительные смеси.

Строительная смесь
Из-за чего изменяется уровень сыпучей смеси и степень уплотнения
Песок проходит через трамбовку, не обязательно специальную, возможно в процессе перемещения. Посчитать количество материала полученного на выходе достаточно сложно, учитывая все переменные показатели. Для точного расчета необходимо знать все воздействия и манипуляции, проведенные с песком.
Конечный коэффициент и степень уплотнения зависит от разнообразных факторов:
- способ перевозки, чем больше механических соприкосновений с неровностями, тем сильнее уплотнение;
- длительность маршрута, информация доступна для потребителя;
- наличие повреждений со стороны механических воздействий;
- количество примесей. В любом случае посторонние компоненты в песке придают ему больший или меньший вес. Чем чище песок, тем ближе значение плотности к эталонному;
- количество попавшей влаги.
Сразу после приобретения партии песка, его следует проверить.
Какие пробы берут для определения насыпной плотности песка для строительства
Нужно взять пробы:
- для партии менее 350 т – 10 проб;
- для партии 350-700 т – 10-15 проб;
- при заказе выше 700 т – 20 проб.
Полученные пробы отнести в исследовательское учреждение для проведения обследований и сравнения качества с нормативными документами.
Методика расчёта
При проведении строительных работ не следует избегать данных параметров, особенно для подготовки песчаной или земляной подушки под основание строящегося объекта. Непосредственный параметр коэффициент уплотнения грунта будет фиксирован в диапазоне расчёта от 0 до коэффициента 1, например, для подготовки бетонного типа фундамента, показатель должен быть >0,98 коэффициентного балла от расчётной нагрузки.
Для каждой категории земляного полотна имеется свой уникальный показатель определения коэффициента уплотнения грунта по ГОСТ исходя из оптимальных характеристик влажности материала, в результате которого можно добиться максимальных характеристик уплотнения. Для более точных определений данных используется лабораторный метод расчёта, поэтому, каждая строительная или дорожная компания в обязательном порядке должны иметь собственную лабораторию.

Зависимость плотности грунта от влажности
Реальная методика, позволяющая ответить на вопрос как рассчитать коэффициент уплотнения грунта измеряется только после того, как будет произведена процедура трамбовки прямо на месте. Специалисты и эксперты в области строительства называют данный метод, как система режущих колец. Попробуем разобраться, как определить коэффициент уплотнения грунта по данному методу.
- В землю забивается определённого диаметра лабораторное кольцо из металла и ведомой длины сердечник;
- Внутри кольца фиксируется материал, который потом взвешивается на весах;
- Далее высчитываем массу используемого кольца, и перед нами имеется масса готового материала для расчёта;
- Далее имеющийся показатель разделим на известный объем металлического кольца — в результате имеем фиксированную плотность материала;
- Делим фиксированную плотность вещества на табличный показатель максимальной плотности.
- В итоге имеем готовый результат стандартного уплотнение грунта ГОСТ 22733-2002.
В принципе, это и есть стандартный метод расчёта, который используется строителями и дорожниками при выявлении коэффициента относительного уплотнения грунта согласно общепринятым нормам и стандартам по расчёту.
Технические регламенты и стандарты
Стандартный закон уплотнения грунта мы знаем еще со времён школьной парты, но данную методику используют только при проведении производственных работ в строительной и дорожной сфере. В 2013-2014 годах произошла актуализация данных расчёта по СНиП, где уплотнение грунта ЕНИР указано в соответствующих пунктах регламентного положения 3.02.01-87, а также в части методики применения для производственных целей СП 45.13330.2012.
Типологии определения характеристик материала
Коэффициент уплотнения грунта предусматривает применение нескольких типологий, главной целью которых является формирование окончательной процедуры технологического вывода кислорода из каждых слоёв почвы, учитывая соответствующую глубину трамбовки. Так, для выявления коэффициента уплотнения грунта при обратной засыпке используют как поверхностный метод расчёта, так и универсальную глубинную систему исследования. Эксперт при выборе методики расчёта должен определить первоначальный характер почвы, а также конечную цель трамбовки. Реальный коэффициент динамичности при ударном уплотнении грунтов может быть определён при помощи использования специальной техники, например — пневматический тип катка. Общая типология метода определения параметров вещества определяется следующими методами:
- Статический;
- Вибрационный вариант;
- Технологически ударный метод;
- Комбинированная система.
Некоторые категории почвы имеют сложную структуру, поэтому приходится исследовать характеристики разными методами, например, для определения коэффициента уплотнения скального грунта.
Степень трамбовки на площадке и при перевозке
Отклонение в объеме загружаемого и доставляемого на конечную точку щебня – известный факт, чем сильнее вибрация при транспортировке и дальше расстояние, тем выше его степень уплотнения. Для проверки соответствия количества привезенного материала чаще всего используется обычная рулетка. После обмерки кузова полученный объем делят на коэффициент и сверяют с указанным в сопроводительной документации значением. Вне зависимости от размера фракций данный показатель не может быть меньше 1,1, при высоких требованиях к точности доставки его оговаривают и прописывают в договоре отдельно.
При игнорировании этого момента претензии к поставщику необоснованные, согласно ГОСТ 8267-93 параметр не относится к обязательным характеристикам. По умолчанию для щебня принимается равным 1,1, проверку доставленного объема проводят на пункте приема, после выгрузки материал занимает чуть больше места, но со временем он дает усадку.

Требуемая степень уплотнения при подготовке оснований зданий и дорог указывается в проектной документации и зависит от ожидаемых весовых нагрузок. На практике может достигать 1,52, отклонение должно быть минимальным (не более 10%). Трамбовку проводят послойно с ограничением по толщине в 15-20 см и применением разных фракций.
Дорожное покрытие или фундаментные подушки засыпаются на подготовленные площадки, а именно – с выравненным и утрамбованным грунтом, без значительных отклонений уровня. Первый слой формуется из крупного гравийного или гранитного щебня, использование доломитовых пород должно быть разрешено проектом. После предварительного уплотнения куски расклинцовывают более мелкими фракциями, при необходимости – вплоть до засыпки песка или песчано-гравийных смесей. Качество выполнения работ проверяется отдельно на каждом слое.
Соответствие полученного результата трамбовки проектному оценивается с помощью специального оборудования – плотномера. Замер проводится при условии содержания не более 15% зерен с размером до 10 мм. Инструмент погружают на 150 мм строго вертикально с соблюдением необходимого нажима, уровень вычисляют по отклонению стрелки на приборе. Для исключения ошибки замеры делают в 3-5 точках в разных местах.

Насыпная плотность щебня разных фракций
Помимо коэффициента трамбовки для определения точного количества требуемого материала нужно знать размеры засыпаемой конструкции и удельный вес заполнителя. Последний представляет собой отношение массы щебенки или гравия к занимаемому ими объему и зависит в первую очередь от прочности исходной породы и размера.
| Тип | Насыпная плотность (кг/м3) при размере фракций: | ||||
| 0-5 | 5-10 | 5-20 | 20-40 | 40-70 | |
| Гранитный | 1500 | 1430 | 1400 | 1380 | 1350 |
| Гравий | 1410 | 1390 | 1370 | 1340 | |
| 1320 | 1280 | 1120 |

Удельный вес обязательно указывается в сертификате продукции, при отсутствии точных данных его можно найти самостоятельно опытным путем. Для этого потребуется цилиндрическая емкость и весы, материал засыпают без трамбовки и взвешивают до и после заполнения. Количество находят путем умножения объема конструкции или основания на полученное значение и на степень уплотнения, указанную в проектной документации.
Например, для засыпки 1 м2 подушки толщиной в 15 см из гравия с размером фракций в пределах 20-40 см понадобится 1370×0,15×1,1= 226 кг. Зная площадь формируемого основания, несложно найти общий объем заполнителя.
Показатели плотности также актуальны при подборе пропорций при приготовлении бетонных смесей. Для фундаментных конструкций рекомендуется использовать гранитный щебень с размером фракций в пределах 20-40 мм и удельным весом не менее 1400 кг/м3
Показатель уплотнения
Во время перевозки
Сложно точно определить степень утрамбовки щебня во время приобретения материала, так как стандартного значения нет. Сам поставщик может указать его в документах сопровождаемых товар, но обязательного его внесения не требуется.
Разумеется, при приобретении и перевозке больших объемов товара, часто выявляется серьезная разница в объеме между погрузкой и получении щебня на склад.
Песок по праву является самым распространенным и популярным строительным материалом благодаря своим прекрасным свойствам и качествам. Тут узнаете, сколько весит куб песка.
Цемент представляет собой минеральный материал, который при соединении с водой становится сначала пластичным, а потом и очень твердым. Здесь плотность цемента М400.
Для таких случаев в договор, о поставке заключаемый между поставщиком и строительной компанией, вносится дополнительный пункт, где прописан поправочный коэффициент, на который ссылаются в пункте приема товара.
Согласно Госту поправочный показатель не может быть выше 1,1. Поэтому поставщики учитывают это при погрузке и делают небольшой запас, чтобы товар не вернули обратно.
Измеряют привезенный щебень в момент доставки, пока его не выгрузили. Причина тому заказ производится не в тоннах, а кубометрах. Как только транспорт пришел на строй площадку, груженный кузов замеряется рулеткой изнутри.
Так вычисляется объем привезенного щебня, а после его умножают на коэффициент 1,1. Таким образом переводится вес из м3 в тонны.
Этот расчет помогает приблизительно рассчитать тот объем, который был загружен в машину до отправления. Если в машину не догрузили материала, то об этом сообщается поставщику. Так коэффициент уплотнения щебня 5 20 при трамбовке составляет 1,3.
На строительной площадке
Естественная трамбовка щебня значительно отличается от механической, которую проводят на строительной площадке. Поэтому коэффициент уплотнения щебня 20 40 может достигать параметра в 1,52. А рабочим, которые будут производить работы, требуется знать показания уплотнения наверняка.
Необходимое цифровое значение указывается в строительном проекте. Но если не обозначена конкретная цифра, то используется приблизительное значение.
Так для фракций с параметром 5 20, 20 40 показатель не устанавливается. Потому что эти виды щебня чаще всего используют для расклинцовки несущего слоя наверху, где применяются зерна фракции 40 70.
Гранитный 40 70
Лабораторный показатель
Самыми точными считаются лабораторные замеры, потому что для их вычислений используются различные способы трамбовки. А проверка осуществляется при использовании разных приспособлений.
Вот некоторые из часто используемых методов:
- объемозамещение согласно ГОСТу 28514 – 90;
- послойное уплотнение щебня согласно стандарту ГоСТ 22733 — 2002
Применяются быстрые варианты исчислений плотномера:
- статического типа;
- водобаллонный;
- динамического вида.
Результаты предоставляются в течение четырех дней, может раньше. Это зависит от конкретного исследования. Стоимость стандартной пробы обойдется в 2500 рублей, а всего их понадобится, как минимум пять.
Использование экспресс-методов помогают получить данные в течение дня, но стоимость, разумеется, выше.
При этом потребуется проба с десяти мест, и каждая обойдется в 3000 рублей. Подобные исследования необходимы при застройке крупных объектов, для соблюдения всех формальностей и документального заключения.
Во время домашнего строительства
Самому дома можно определить значение. Это очень удобно и нет необходимости вызывать специалистов, ведь это довольно дорого. Прежде всего потенциальному строителю следует точно знать насыпную плотность выбранного материала. Она обычно указывается в документации, которую вы можете попросить у поставщика.
Стоит помнить, что на показатель влияет состав щебня и количество посторонних примесей, а еще размер гранул.
Когда вам известна насыпная плотность, можно переходить к расчету коэффициента уплотнения. Для этого укатайте щебень до того состояния, которое вам необходимо при постройке.
Плотность
Затем проведите замеры рулеткой. После чего применяется следующая формула:
Коэффициент уплотнения = масса щебня / на объем.
Песок и щебень в МО — самые низкие цены здесь!
Коэффициент уплотнения (трамбовки) ПГС, песка, щебня, грунта.
Коэффициент уплотнения (Купл)
— это нормативное число, которое определяется ГОСТами и СНИПами, учитывающий во сколько раз сыпучий материал ( а именно ПГС, песок, щебень, грунт и др.) уплотнился (следовательно, уменьшился и его наружный объем) при перевозке и трамбовке. Значение его колеблется в пределах 1,05 — 1,52:
| Вид инертного материала | Купл (коэффициент уплотнения) |
| ПГС (песчано-гравийная смесь) | 1,2 (ГОСТ 7394-85) |
| Песок для строительных работ | 1,15 (ГОСТ 7394-85) |
| Керамзит | 1,15 (ГОСТ 9757-90) |
| Щебень (гравий) | 1,1 (ГОСТ 8267-93) |
| Грунт | 1,1-1,4 (по СНИП) |
Коэффициент уплотнения учитывают от объёма поставленного сыпучего материала (грунт, пгс, песок, щебень, керамзит и т.д.), а также от механизма уплотнения (трамбовки). Немало важным является само качество инертного материала. К примеру, ПГС (песчано-гравийная смесь) может содержать различное содержание гравия (от 10% до 90%), а отсюда меняться К упл. Исходя из этого, данные в таблице предоставлены средние.
Коэффициентом уплотнения называется безразмерное число, показывающее степень уменьшения наружного объема сыпучего зернистого строительного материала при его перевозке транспортом или трамбовке. Используется применительно к песчано-гравийным смесям, песку, щебню, грунту.
Каждый вид щебня имеет свою маркировку, указанную в принятом стандарте (ГОСТ 8267-93). В нем же описаны методы определения коэффициента уплотнения.
Производители должны указать данный параметр в маркировке щебня того или иного вида. Степень уплотнения определяется также специалистами экспериментальным путем. Результаты могут быть получены в течение 3-х дней. Величину уплотнения щебня измеряют и экспресс методами. Для этого используются статические и динамические плотномеры. Расходы на измерение значения коэффициента в лабораторных условиях значительно ниже, чем прямо на стройплощадке.
Для чего нужно знать значение коэффициента уплотнения?
Знание точного значения Ку (коэффициента уплотнения щебня) требуется для определения: а) массы закупаемого строительного материала; б) степени дальнейшей усадки щебня в строительных работах. В обоих случаях нельзя допускать погрешностей.
Массу щебня (в кг)можно вычислить перемножив значения 3-х величин:
— объема заполнения (в м3); — удельного веса (в кг/м3); — коэффициента уплотнения (в большинстве случаев колеблется в пределах от 1,1 до 1,3).
Специалисты пользуются таблицами средней массы щебня в зависимости от фракции. Так, например,в 1 м3
щебня умещается1500 кг фракции 0-5 мм и 1470 кг – фракции 40-70 мм .
Работ с сыпучими материалами связана и с такой величиной, как насыпная плотность. Ее учет обязателен в процессе расклинцовки, укладки щебня, расчета состава бетона. Ее значение определяется опытным путем с помощью специальных сосудов (объем до 50 л). Для этого, разность масс пустого и наполненного щебнем сосуда, делится на объем самого сосуда.
Расклинцовка
— плотная укладка щебеночного основания с помощью зерен различных фракций. Суть технологии –заполнение больших пустот между крупными зернами мелкими кусками.
Трамбовка
– одно из обязательных условий упрочения основания дорог или фундаментных оснований зданий. Проводится с помощью специальной техники (механический каток, виброплита) или ручной трамбовки. Качество уплотнения контролируется специальным прибором. Величину уплотнения (трамбовки) можно определить несколькими методами. В частности, методом динамического зондирования.
Коэффициент уплотнения
также используется при расчете необходимого количества сыпучих материалов для планировки участка щебнем. Пусть толщина укладки – 20 см. Какое количество отсева нам нужно для 1 м2 участка? Умножив объем участка на удельный вес (1500 кг/м3) и на коэффициент уплотнения (1,3), получим 390 кг.
Следует помнить, что различные фракции щебня обладают разным коэффициентом уплотнения. Этот параметр приобретает большое значение при выполнении проектировочных работ на основе щебня.
Коэффициент уплотнения щебня. Коэффициент уплотнения гранитного щебня фракций 5-20, 20-40, 40-70.
Коэффициент уплотнения щебня – это безразмерная величина, которая характеризует степень уменьшения наружного объёма материала в результате трамбовки или естественного уплотнения при транспортировке. Данный параметр и порядок его учета при проведении строительных работ регламентируется действующими ГОСТ и СНиП, в частности ГОСТ 8267. Его значение зависит от марки материала и составляет 1,05 – 1,52. Так, например, коэффициент уплотнения щебня гранитного составляет, в среднем, 1,1, у ЩПС – 1,2.
Для чего необходим коэффициент уплотнения
Этот параметр необходим для:
- расчета массы приобретаемого материала;
- определения усадки материала при проведении строительных работ.
Зная, к примеру, коэффициент уплотнения щебня 20-40 можно определить массу материала, умножив имеющийся объём (вагона, кузова грузового автомобиля, тары и т. д.) на насыпную плотность и коэффициент уплотнения.
Также коэффициент уплотнения необходим для подсчета потребного количества материалов для планировки участка. Так, например, при засыпке щебнем 5-20 при толщине слоя 20 см мы получаем:
1*0.2*1600 кг/м3 (плотность щебня)*1,2 = 384 кг на 1 м2 площади, где 1,3 – это коэффициент уплотнения щебня 5-20.
Необходимо помнить, что коэффициент уплотнения зависит от фракции щебня, чем она крупнее, тем он меньше. Так, коэффициент уплотнения щебня фракции 40 70 выше чем у 5 20, что необходимо учитывать при проектировании строительных работ. При расчетах необходимо учесть, что в проекте, как правило, указывается не степень уплотнения, а, т. н. плотность скелета. Это означает, что при расчете необходимо учесть уровень влажности и др. параметры материала.
Способы определения коэффициента уплотнения
Коэффициент уплотнения материала определяется производителем и указывается в паспорте, сопровождающем каждую партию. Часто возникает необходимость и определения коэффициента уплотнения щебня при трамбовке и на строительной площадке. Замер производится с помощью плотномера при условии содержания в материале не более 15% частиц, крупность которых превышает 10 мм. Точность определения составляет 90 – 100% от стандартной плотности по ГОСТу.
Уплотнение материала определяется по показаниям удельного сопротивления при погружении наконечника – обычного или усеченного конуса в зависимости от типа смеси. Показатель определяется по отклонению стрелки индикатора прибора.
Замер производится путем строго вертикального погружения конуса прибора в смесь с необходимым нажимом. Каждая точка замеряется 3-5 раз с расстоянием между местом погружения в 150 мм. Далее из полученных результатов замеров определяется средняя величина. Используя прилагаемый к прибору график и полученные средние данные, определяется коэффициент уплотнения щебня при трамбовке.
Лучшим вариантом является приобретение щебня непосредственно у производителя, минуя посредников. Это выгодно с точки зрения цены, возможностей поставок, качества, а также наличия всей необходимой документации с параметрами щебня на основании данных лабораторных исследований.
kadarspb.ru
Применение
Производят щебень благодаря карьерным разработкам. Путем дробилки крупных горных пород на мелкие составляющие. Размер гранул в щебне может варьироваться от мелких 5 15 мм до крупных 120 150 мм.
Применение:
при закладке фундаментной основы;
Закладка фундамента
при прокладке дорожных полотен, крупных автомобильных трасс или железнодорожных путей;
Строительство автодорог
производство бетона, отлив различных бетонных блоков, столбов, плит и прочее.
Бетонные блоки
Но крупные фракции делаются только на заказ, потому что пользуются меньшим спросом. Самым ходовым диаметром является 5 15, 10 20.
Фракция 10-20
Благодаря своему малому размеру у этого вида щебня высокий .
Большинство строителей отдают предпочтение гранитному щебню, за счет ряда плюсов:
- высокая устойчивость к морозам;
- поглощение влаги материалом весьма низкое;
- прочность материала.
Подбирая фракцию щебня, стоит учитывать для каких целей он будет использован.
Более подробно о гранитном щебне 20 40 смотрите на видео:



)
)






















































